52创业知识分享网

分享花呗|白条相关的小知识及使用技巧

这都可以(农业农村部渔业渔政局发文部署水产养殖重点品种监测工作)

花白达人    2023-01-11    312

点击上方蓝色字关注我们~

为科学规范地组织开展水产养殖重点品种监测工作,保障监测信息的及时性、准确性,更好地服务和指导养殖生产,为水产品稳产保供提供决策依据,日前,农业农村部渔业渔政管理局发布《关于印发〈水产养殖重点品种监测管理办法(试行) 〉〈水产养殖重点品种监测数据信息审核分析方法(试行) 〉 并成立专家组的通知》(下称《通知》),全面部署了水产养殖重点品种监测有关工作。

《通知》提出水产养殖重点品种监测的主要任务是在主产区建立重点品种生产信息监测体系,对生产主体、生产情况、价格变动等信息开展监测,对生产能力、供需关系、市场走势等进行分析研判。

《通知》指出监测工作由农业农村部渔业渔政管理局统一领导,并明确了全国水产技术推广总站、中国水产学会、中国水产科学研究院东海水产研究所和监测省份渔业主管部门的具体工作内容和遵守的原则。其中,中国水产流通与加工协会负责组织有关省份开展海参、鲍鱼和龟鳖类等特色品种生产情况监测。

 《通知》确定了水产养殖重点品种监测数据的信息审核和分析方法,并指出特色品种数据审核分析可参考本方法。

《通知》公布了全国水产养殖重点品种监测专家组成员名单。

附件1

水产养殖重点品种监测管理办法

(试行)

第一条  为科学规范地组织开展水产养殖重点品种监测工作,保障监测信息的及时性、准确性,更好地服务和指导养殖生产,为水产品稳产保供提供决策依据,制定本办法。

第二条  水产养殖重点品种监测的主要任务是在主产区建立重点品种生产信息监测体系,对生产主体、生产情况、价格变动等信息开展监测,对生产能力、供需关系、市场走势等进行分析研判。

第三条  水产养殖重点品种监测工作由农业农村部渔业渔政管理局(以下简称“部渔业渔政局”)统一领导,全国水产技术推广总站 中国水产学会(以下简称“总站学会”)、中国水产科学研究院东海水产研究所(以下简称“东海所”)和监测省份渔业主管部门负责具体组织实施。

第四条  部渔业渔政局负责组织、管理、协调全国水产养殖重点品种监测工作,利用有关资金支持工作开展。

(一)组织制定水产养殖重点品种监测管理办法;

(二)确定水产养殖重点品种监测范围、监测指标、监测点选点要求等;

(三)组织成立全国水产养殖重点品种监测专家组,根据需要调整专家组成员;

(四)运用分析结果支撑相关决策,组织开展应急数据调度。

第五条  省级渔业主管部门负责组织、管理、协调本省份的水产养殖重点品种监测工作,利用各级各类资金支持工作开展。

(一)按要求推荐本省份监测县和监测点;

(二)组织和督促实际填报数据的监测点养殖主体、县级渔业主管部门或项目具体实施单位等开展监测工作;

(三)组织完成本省份各级数据审核、汇总、上报;

(四)组织开展面向本省份市级、县级调查员和监测点养殖主体的培训;

(五)可利用监测系统对本省份其他品种开展监测等。

第六条  总站学会具体负责组织监测省份和有关单位开展重点品种监测工作,建设并维护监测系统。

(一)牵头组织开展重点品种监测工作,协助开展应急数据调度;

(二)确定监测点,并根据需要调整;

(三)对监测省份相关工作进行评估;

(四)组织开展面向相关省份的培训等;

(五)负责水产养殖重点品种监测系统建设、维护与管理。

第七条  东海所负责开展水产养殖重点品种监测数据分析。

(一)审核监测点布设,提出调整监测点的建议等;

(二)整理、核实、分析数据,组织开展水产养殖重点品种生产形势会商,牵头完成月度、季度和全年报告;

(三)在苗种投放量、压塘量、出塘价等数据异常时及时开展预警预报;

(四)牵头负责全国水产养殖重点品种监测专家组工作;

(五)组织研究提出完善监测制度和方法的建议等。

第八条  确定重点品种监测县时,应当遵守以下原则:

(一)依据产量排序遴选,以监测省份各县重点品种养殖产量为基础,分别计算各品种年产量,草鱼、鲢鱼、鳙鱼、鲤鱼、鲫鱼可合并计算;

(二)各品种年产量由高到低排序,选择累计产量占比达到80%的县,原则上每县监测点数量相等。

第九条  确定重点品种监测点时,应当遵守以下原则:

(一)应选择养殖规模大、生产稳定、管理规范、制度健全、有意愿参加监测工作的养殖主体;

(二)同等条件下优先选择原国家级水产健康养殖示范场、国家级水产健康养殖和生态养殖示范区、全国养殖渔情信息采集点;

(三)淡水养殖监测点主要选择池塘和工厂化养殖方式,克氏原螯虾可选择稻田养殖方式,海水养殖监测点不限制养殖方式;

(四)大宗淡水鱼的监测点可为主养草鱼、鲢鱼、鳙鱼、鲤鱼、鲫鱼中任一品种或其中多个品种的养殖主体;

(五)监测点实际养殖生产地址应属于监测县,应基本保持稳定,监测省份各监测品种的监测点数量应不少于上级部门分配数。

第十条  监测数据等信息通过水产养殖重点品种监测系统上报和审核汇总。

(一)信息报送方式是养殖主体或县级渔业主管部门或项目具体实施单位填报数据。养殖主体名称、负责人等基础信息首报时填写,出塘量、出塘价实时填报,养殖面积、苗种投放量等其他监测数据每月5日前完成上月数据填报。应急数据调度时应按要求及时填报。报送单位应建立监测台账,原始监测资料应至少保存2年。

(二)信息审核方式是县、市、省(区、市)逐级审核。其中,养殖主体名称、负责人等基础信息在首报时审核,出塘量、出塘价、养殖面积、苗种投放量等其他监测数据省级每月10日前完成上月数据审核汇总。应急数据调度时各级实施单位应按要求及时审核汇总。

第十一条  成立全国水产养殖重点品种监测专家组。专家组定期开展分析,每月15日前报送月度、季度、年度报告,按照要求开展应急调度数据分析,对苗种投放量、压塘量、出塘价等数据异常及时做出研判,做好预警预报。

第十二条  中国水产流通与加工协会负责组织有关省份开展海参、鲍鱼和龟鳖类等特色品种生产情况监测,提交年度情况分析报告,相关工作可参照本办法执行。

第十三条  各单位要加强对水产养殖重点品种监测项目经费使用和监管,严格执行相关资金使用管理办法,做到专款专用。

第十四条  监测数据对监测省份和监测主体开放。

第十五条  本管理办法自印发之日起施行,由部渔业渔政局负责解释。

附件2

水产养殖重点品种监测数据信息审核分析方法

(试行)

一、数据等信息审核

(一)养殖主体

1.养殖主体名称指经市场主体登记的单位全称或个人,信息应完整、准确;

2.地址指该养殖场的具体地址,应具体到村或门牌号;

3.联系方式应完整、准确;

4.养殖品种信息应完整、准确;

5.此处填报的养殖面积应为承包水域面积或养殖证、海域使用证规定面积等。

(二)养殖主体负责人

1.监测点养殖主体负责人指依照法律或者法人组织章程规定,行使主体职权的负责人或者个人,相关信息应完整、准确;

2.监测点养殖主体联系人基本信息应完整、准确。

(三)养殖面积

逐月填报的养殖面积应为报告期内实际用于养殖监测品种的水体面积,应能反映生产变化。例如,清塘期养殖面积为0,种苗繁育水体的养殖面积为0,抛荒弃养水体的养殖面积为0。

1.在报告期内无论是否全部收获或尚未收获其产品,均应统计在养殖面积中;但有些水面不投放苗种或投放少量苗种,只进行一般管理的,不统计为养殖面积;

2.监测品种单养时,养殖面积为实际用于其生产的水体面积;监测品种混养时,各品种的养殖面积均为混养的实际水体面积;监测品种和非监测品种混养时,监测品种的养殖面积为各品种混养的实际水体面积;

3.海水养殖面积指利用天然海水养殖水产品的水面面积,淡水养殖面积指在淡水池塘养殖水产品的水面面积;

4.海上、滩涂、池塘等方式养殖面积按照实际使用的水面计算,单位为亩(汇总结果时自动换算为公顷),保留整数;

5.工厂化养殖按照实际养殖水体的体积计算,单位为立方米,保留整数;

6.普通网箱按照实际占有水面计算面积,单位为平方米,保留整数;

7.深水网箱按照实际占用水的体积计算,单位为立方米,保留整数;

8.稻田养殖面积按照稻田加水后的水面面积计算,可参考田块面积计算,单位为亩(汇总结果时自动换算为公顷),保留整数。

(四)苗种投放量

1.苗种投放量指投放用于直接生产水产品成品的鱼苗、鱼种等的重量,不包括投放的用于生产大规格种苗的小规格种苗;

2.鱼苗指卵黄囊基本消失,鱼鳔充气,能平游主动摄食的仔鱼,包括人工孵化和江河湖海港湾采集的天然鱼苗,单位为万尾,保留2位小数;

3.鱼种指鱼苗经培育后,发育至全体鳞片,鳍条长全,外观具有成鱼基本特征的幼鱼,一般全长在1.7—23.3厘米,因出塘季节和培育期不同,又俗称夏花、冬片、春片、秋片、仔口和老口,单位为千克,保留2位小数;

4.幼虾指虾类幼体变态完成到性腺开始发育的阶段,单位为万尾,保留2位小数;

5.稚贝指幼虫向成体过渡的一个发育阶段,单位为万粒,保留2位小数;

6.海带苗指可以从苗绳上剔下来夹到栽培绳上的幼苗,单位为万株,保留2位小数;

7.苗种投放种类与养殖主体信息中的“养殖品种”原则上应一致,不一致时也可如实填报。必要时调整监测点。

(五)出塘量

1.出塘量指报告期内养殖生产主体起捕的水产品成品产量;

2.出塘品种应为重点品种;

3.出塘品种应与苗种投放种类一致;

4.每个出塘品种均应有相应的出塘量数据,混养的情况应分品种估算;

5.出塘量单位为千克(汇总结果时自动换算为吨),保留整数。

(六)存塘量

1.存塘量指养殖对象已达到上市销售的最小规格或标准但未出塘的量,存塘原因既可能是养殖主体因价高惜售等主观原因,也可能是自然灾害等客观原因;

2.存塘品种应为重点品种;

3.存塘品种应与苗种投放种类一致;

4.每个存塘品种均应有相应的存塘量数据,混养的情况应分品种估算;

5.存塘量单位为吨,保留2位小数。

(七)压塘量

1.压塘量指养殖对象已达到上市销售的最小规格或标准且养殖主体有出塘意愿,但由于客观原因(运输受阻、无人收购、出塘价过低、雇不到工人等)无法出塘的量,压塘量≤存塘量;

2.压塘品种应为重点品种;

3.压塘品种应与苗种投放种类一致;

4.每个压塘品种均应有相应的压塘量数据,混养的情况应分品种估算;

5.压塘量单位为吨,保留2位小数;

6.应填写压塘原因。

(八)出塘价

1.出塘价指养殖生产主体起捕的、以市场流通为目的的水产品塘口交易价,也称塘口价;

2.每个出塘品种均应有相应的出塘价数据,混合出售的情况应分品种估算;

3.出塘价单位为元/千克,保留2位小数。

二、数据分析

以出塘量为例说明应用方法。监测品种产量权重按照2021年渔业统计数据为基础进行测算。监测品种分为大宗淡水鱼和其他品种,共8种。

(一)增长率分析

1.监测省份的特定监测品种出塘量增长率

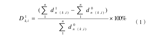
对于监测品种k,在监测省份i设置了n个监测点,因此该监测品种当期出塘量增长率计算公式可表示如下。

式(1)中,表示当期第i个监测省份,第k个监测品种的出塘量增长率;表示当期第i个监测省份,第k个监测品种,第n个监测点的出塘量;表示上期第i个监测省份,第k个监测品种,第n个监测点的出塘量。

2.特定监测品种出塘量增长率

利用不同监测省份的特定监测品种产量权重,计算全国的特定监测品种出塘量增长率,具体计算公式如下。

式(2)中,为当期全部监测省份第k个监测品种的出塘量增长率;为当期第i个监测省份,第k个监测品种的出塘量增长率;为第i个监测省份,第k个监测品种的产量权重。

3.重点品种综合出塘量增长率

利用全部监测省份不同监测品种的产量权重,计算监测方案中重点品种综合出塘量增长率,具体计算公式如下。

式(3)中,为当期监测方案中重点品种综合出塘量增长率;为当期全部监测省份第k个监测品种的出塘量增长率;为第k个监测品种的产量权重。

(二)增长指数分析

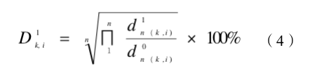
1.监测省份的特定监测品种出塘量增长指数

对于监测品种k,在监测省份i设置了n个监测点,利用几何平均数表示该监测品种的当期出塘量增长指数,具体计算公式如下。

式(4)中,表示当期第i个监测省份,第k个监测品种的出塘量增长指数;表示当期第i个监测省份,第k个监测品种,第n个监测点的出塘量;表示上期第i个监测省份,第k个监测品种,第n个监测点的出塘量。

2.特定监测品种出塘量增长指数

对于全部监测省份,以特定监测品种的产量为权重,计算特定监测品种出塘量增长指数,具体计算公式表示如下。

式(5)中,为当期全部监测省份第k个监测品种的出塘量增长指数;为当期第i个监测省份,第k个监测品种的出塘量增长指数;为第i个监测省份,第k个监测品种的产量权重。

3.重点品种综合出塘量增长指数

利用全部监测省份不同监测品种的产量权重,计算监测方案中重点品种的综合出塘量增长指数,具体计算公式表示如下。

式(6)中,为当期监测方案中重点品种的综合出塘量增长指数;为当期全部监测省份第k个监测品种的出塘量增长指数;为第k个监测品种的产量权重。

(三)增长趋势的产业分析

根据监测指标的特点以及增长率和增长指数描述数据变动趋势的优劣势,对于重点监测指标,例如出塘量和投苗量,选择增长指数方法分析长期变动趋势;对于其他监测指标,选择增长率方法分析其变动特征。

监测养殖面积、投苗量、出塘量、存塘量、压塘量和出塘价等指标的长期变动趋势,结合现代农业产业技术体系渔业产业经济分析结论以及实地调研情况,按季度对重点品种的生产经营形势进行分析,并对其他亟需关注的问题进行分析。

三、特色品种

特色品种数据审核分析可参考本方法。

附件3

全国水产养殖重点品种监测

专家组成员名单

组长:

方  辉  中国水产科学研究院东海水产研究所所长、研究员

副组长:

于秀娟  全国水产技术推广总站 中国水产学会副站长、正高级农艺师

韩  刚  中国水产科学研究院副院长、研究员

崔  和  中国水产流通与加工协会会长、研究员

咨询组:

吴反修  全国水产技术推广总站 中国水产学会高级工程师

徐乐俊  中国水产科学研究院主任

戈贤平  中国水产科学研究院淡水渔业研究中心研究员

杨  弘  中国水产科学研究院淡水渔业研究中心研究员

关长涛  中国水产科学研究院黄海水产研究所研究员

何建国  中山大学教授

宋林生  大连海洋大学教授

逄少军  中国科学院海洋研究所研究员

王雪光  中国水产流通与加工协会执行秘书长

执行组:

高宏泉  全国水产技术推广总站 中国水产学会研究员

刘子飞  中国水产科学研究院副研究员

陆亚男  中国水产科学研究院东海水产研究所副研究员

岳冬冬  中国水产科学研究院东海水产研究所副研究员(兼任专家组秘书)

陈  洁  农业农村部农村经济研究中心研究员

姜启军  上海海洋大学教授

杨正勇  上海海洋大学教授

孙  琛  上海海洋大学教授

慕永通  中国海洋大学教授

青  平  华中农业大学教授

邹国华  上海峻鼎渔业科技有限公司高级工程师

本文链接:https://www.yangzhibaike.com/post/16102.html

声明:本站文章来自网络,版权归原作者所有!

上一篇  下一篇

相关文章

请发表您的评论